

“管综数学角”是泰祺教育打造的精品学科栏目之一,专注于管理类联考综合卷的数学科目。通过定期发布管综数学的复习攻略、备考规划、难点突破、解题技巧等干货分享,旨在帮助同学们掌握学习方法、提高学习兴趣,为数学备考助一臂之力!

本文作者:田博老师
泰祺教育数学教研组老师
在管综数学的解析几何中,直线的位置关系问题是非常常见的考点,出题比较灵活。相关题型有:点到直线距离、直线和直线的位置关系、两点关于直线的对称、线与圆的位置关系。
其中线与圆的位置关系已经在往期文章中讲到过,本文我们就着重讲解除了线与圆的位置关系之外的另外三种题型。

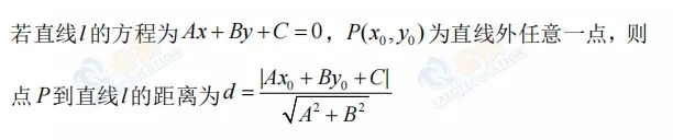
点到直线的距离公式

例题解析


两直线的位置关系

例题解析


两点关于直线对称

例题解析


以上就是与直线相关的位置关系问题的三种题型。对于点线距离,需熟记点线距离公式;对于直线与直线的三种位置关系,可结合图形记忆对应的“满足条件”;对于两点关于直线对称,需牢记“平分和垂直”。
希望能对大家解决与直线相关的位置关系的题目有所帮助。

