


“管综数学角”是泰祺教育打造的精品学科栏目之一,专注于管理类联考综合卷的数学科目。通过定期发布管综数学的复习攻略、备考规划、难点突破、解题技巧等干货分享,旨在帮助同学们掌握学习方法、提高学习兴趣,为数学备考助一臂之力!

本文作者:李田老师
泰祺教育数学教研组老师
管理类联考数学题量大、时间紧、分值高的特点决定了考生必须要对数学的考纲考点有全面深入的认识,从而制定有效的全面复习计划。因此,准确地把握数学的重难点是很有必要的。下面我们针对“绝对值”这一考点的相关内容给大家做一下分享。
绝对值的基本考点
①代数定义
②几何定义

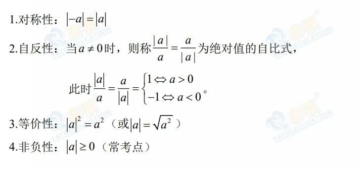
2.绝对值的相关性质

3.绝对值不等式性质与运算法则

绝对值作为每年的必考点,是管理类联考数学中的重难点,考查方式和题型较灵活,可单独设题也可结合其他考点综合考查。其中,“去绝对值”是解决绝对值问题的基础也是关键;另外,绝对值的相关性质以及绝对值的不等式也是考查的重点。
利用绝对值的相关定义去绝对值是解决绝对值相关问题的必备法宝,“定义法”可以说是最利于考生掌握和运用的。在历年真题中也存在不少可以直接利用定义求解的题目,此类题目往往能先根据题目确定绝对值内表达式的符号,直接去掉绝对值符号,然后继续求解。

总结:
另外如果根据题中已有条件不能确定绝对值内表达式的符号,则可通过界点利用“零点分段讨论法”分段,去掉绝对值符号后再求解。

总结:
1.若根据已知条件不能确定绝对值内表达式的符号,则需要分类讨论去绝对值。
2.遇到多个绝对值时,可通过零点分段讨论法进行分段逐一讨论。
3.零点分段讨论法去绝对值的步骤为:求零点、分段(根据零点进行分段)、判断正负性(在每一段内确定各个绝对值内表达式的符号)、去绝对值(根据定义去绝对值)。
绝对值相关性质也是历年真题中的重难点,其大多体现在不等式中,主要以不等式形式综合考查。这其实在无形当中加大了考查难度,尤其是对于性质相对灵活的考点,如何熟练地应用性质解题便成为一大难点。其中,“三角不等式”更是考查的重点。

总结:
1.“三角不等式”在真题中题型多样化,但也有其特征:一般若
|a|、|b|
以及|a±b|
同时出现时,多数情况下会涉及到“三角不等式”的运用。
2.相加或相减消参:在运用“三角不等式”之前,先观察条件是相加还是相减,可以消掉多余的数字或字母,再运用“三角不等式”。
3.在运用“三角不等式”的时候,一定要注意等号的成立条件。
绝对值的性质在真题中还会和不等式、方程等相结合考查。同时,绝对值的性质作为单独的考点在真题中也考查了不少。

总结:
1.一般考绝对值自反性的题目,辨识度较高,根据题目中的式子,不难看出是考绝对值自反性。
2.解决绝对值自反性题目的关键是判断绝对值内表达式的符号,和其具体的结果数值关系不大,所以在计算过程可以不去计算详细结果以节省时间。


总结:
1.若根号内为完全平方式,可根据绝对值等价性开根号(开根号要加绝对值)。
2.去绝对值:若根据题目已有条件能确定绝对值内表达式的符号,则可以直接去掉绝对值;若根据题目已有条件不能确定绝对值内表达式的符号,则分类讨论去绝对值。
3.要注意根式整体及根号下的式子都具有非负性,在解决带根式的题目中要注意此双重非负性。
4.谨记“举反例”能说明条件是不充分的,“举正例”不能说明条件是充分的。

总结:
1.绝对值、偶次方根、偶次幂都具有非负性。
2.若干个非负的数相加等于0,则每个数都是0。

总的来说,绝对值作为每年的必考点,其重要性是显而易见的。从历年真题的考查情况来看,重点还是在绝对值的相关性质以及不等式上。这就需要同学们在复习过程中除了对基础知识点的理解和对公式、性质的记忆之外,更要把握绝对值性质的考查题型、解题方法以及和其他知识点的综合考查题型。


