


“管综数学角”是泰祺教育打造的精品学科栏目之一,专注于管理类联考综合卷的数学科目。通过定期发布管综数学的复习攻略、备考规划、难点突破、解题技巧等干货分享,旨在帮助同学们掌握学习方法、提高学习兴趣,为数学备考助一臂之力!

本文作者:翁玥老师
泰祺教育数学教研组老师
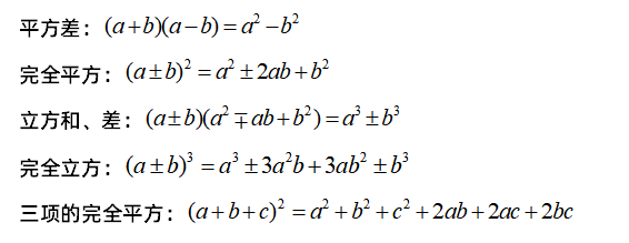
数学考试中,牢记公式是做题的前提。使用公式时,部分同学因为记错字母顺序或者正负号等情况选错答案,更多的是发现选项中没有答案可以选。这样不仅影响了这道题的得分,浪费了考场上的宝贵时间,可能还会影响到后面题目的发挥。时间就是分数,管综数学的做题策略是快准兼备,要在有限的时间内快速选出正确答案。今天我们从“整式的基本公式”开讲,帮助大家把公式做到牢记于心,灵活运用。

整式的基本公式


有些同学看到上面所列的公式,乍一看很熟悉,但在做题时却不能灵活应用,做完题后感觉有点“方”。为了方便大家记忆和使用这些公式,我们精心准备了以下题目,带领大家从具体问题探讨如何使用公式。
例题1

例题2

例题3


下面我们来看一道经典的条件充分性判断题
注:条件充分性判断是管综数学考试的一个特色,根据给出的条件推结论。题目要求判断每题给出的条件(1)和(2)能否充分支持题干所陈述的结论。
(A)条件(1)充分,但条件(2)不充分.
(B)条件(2)充分,但条件(1)不充分.
(C)条件(1)和(2)单独都不充分,但条件(1)和条 件(2)联合起来充分.
(D)条件(1)充分,条件(2)也充分.
(E)条件(1)和(2)单独都不充分,条件(1)和条件(2)联合起来也不充分.
经典题


拓展延伸

相信通过上面的练习,同学们对整式基本公式的应用,应该都有了一个初步的认识。在后续的备考中,大家可以结合课上老师的讲解再复习。希望大家在平时的学习中能把例题涉及的性质、公式等,到解题的原理和方法都能熟记于心,争取在最终的考试中好好发挥,考出好成绩!


