

“管综数学角”是泰祺教育打造的精品学科栏目之一,专注于管理类综合能力的数学科目。通过定期发布管综数学的复习攻略、备考规划、难点突破、解题技巧等干货分享,旨在帮助同学们掌握学习方法、提高学习兴趣,为数学备考助一臂之力!
本文作者:李艳芳老师
泰祺教育数学教研组副组长
老师在线答疑
针对本文涉及知识点大家有任何疑问
欢迎在留言评论区提问
届时李艳芳老师将空降评论区
为各位同学答疑解惑!
管综数学总有一些题,明明感觉并不难,但是偏偏一做就错,一看解析立马恍然大悟。这篇文章给大家整理了管综数学考试中的五类容易忽略的细节坑,让我们一起慧眼识坑,有效避免。
涉及函数、方程、不等式的题目,特别留意有没有关键词“二次”。
❎踩坑做法
❎踩坑做法
利用均值不等式求最值时,特别注意不等式成立的条件,以及取等号的条件。
❎踩坑做法
❎踩坑做法
等比数列中各项都不等于0,等比数列中的奇数项同号,偶数项同号。
❎踩坑做法
❎踩坑做法
注意单位换算。
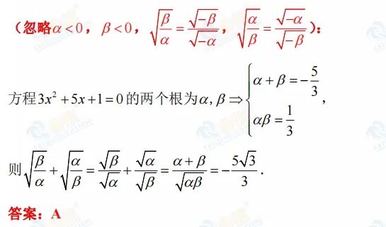
遇到互为倒数的表达式求和,注意利用结论。
❎踩坑做法