

“管综数学角”是泰祺教育打造的精品学科栏目之一,专注于管理类综合能力的数学科目。通过定期发布管综数学的复习攻略、备考规划、难点突破、解题技巧等干货分享,旨在帮助同学们掌握学习方法、提高学习兴趣,为数学备考助一臂之力!
本文作者:泰祺教育数学教研组
在管综数学考试中,解析几何的知识点就是从点、线、圆三方面展开。比如:两点、点线、点圆、线线、线圆、圆圆之间的关系,大家将这几种关系弄清楚,理明白,那么就可以轻松解决解析几何的相关题目了!接下来我们逐一分析:
两点(两点距离公式)
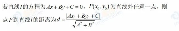
点线(点到直线的距离公式)
例题解析
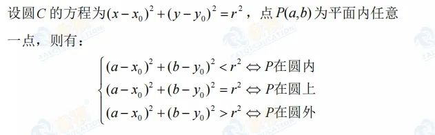
点圆(点与圆的位置关系)
例题解析
线线(两直线的位置关系)
例题解析
线圆(直线与圆的位置关系)
例题解析
两圆(圆与圆的位置关系)
例题解析
对于两点距离,需熟记两点距离公式;对于点线距离,需熟记点线距离公式;对于直线与直线的三种位置关系,可结合图形记忆对应的“满足条件”;对于点和圆、线和圆、圆和圆的位置关系,可根据每种情况的图形来记忆其“成立几何条件”,根据其成立条件来解答。
希望能对大家解决与直线相关的位置关系的题目有所帮助。